首页
学院概况
网络教育
函授业余教育
非学历培训
研究生教育
辅修专业
教育信息化
开启辅助访问
站内搜索
请
登录
后使用快捷导航
没有帐号?
立即注册
函授业余教育
文章
用户
函授业余教育
函授公告
夜大公告
招生公告
教学安排
教学站点
管理制度
相关下载
在线缴费
您当前所在位置
›
首页
›
函授业余教育
›
函授公告
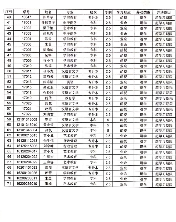
关于同意张煜扬等71名学生退学的决定
发布时间: 2021-6-3 16:53
浏览次数:
7022
上一篇:
关于张煜扬等72名学生退学处理的公示.
下一篇:
2021年第二学期(暑假)函授教学、考试安排
函授业余教育
招生专区
>
招生公告
>
函授公告
>
夜大公告
>
教学安排
>
管理制度
>
教学站点
>
相关下载
>
返回顶部